
image-20201230151011242.png
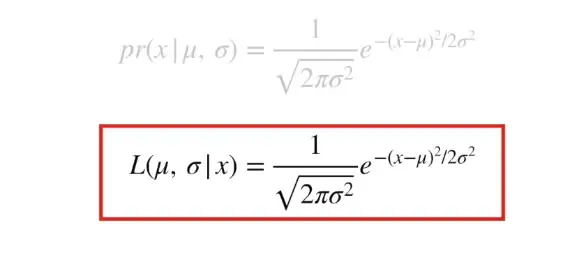
让我们从最简单的数据集:一个测量值开始。我们测量了一只老鼠的重量为32g。我们可以将μ= 28 、σ=2的正态分布覆盖到数据上。为了确定给定这条曲线的数据的似然,我们可以将这些数字代入似然函数中。

image-20201230153529259.png
现在我们可以将分布向右平移一点,μ= 30,然后计算似然(Likelihood)。将这些数字代入似然函数中。然后我们可以代入一大堆μ值,看看哪个给出最大似然。然后将似然的值画成图,我们可以通过确定曲线的斜率为0的位置,来确定似然图中的峰值。然后我们可以代入一大堆σ值,看看哪个给出最大似然,以及μ。然后将似然的值画成图,我们可以通过确定曲线的斜率为0的位置,来确定似然图中的峰值,以及σ。

image-20201230154704246.png


image-20201230155241957.png
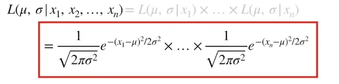
既然我们知道了如何计算一个正态分布的似然,我们有不止一个测量(我们只是把单个的似然相乘),让我们计算最大似然来估计μ和σ。当我们有n个测量值时,计算似然的函数等于:

image-20201230155801748.png
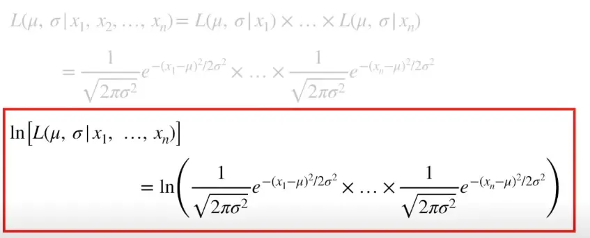
我们需要分别对μ和σ求导,在我们求导之前,我们分别对两边求log。对于μ和σ,似然函数和似然函数的对数都在相同的值处达到峰值。

image-20201230155949725.png
然后化简,对μ和σ求导,然后令斜率=0。

image-20201230160254138.png

image-20201230160516005.png
文章均来自互联网如有不妥请联系作者删除QQ:314111741 地址:http://www.mqs.net/post/14489.html
添加新评论