
logic.jpeg
写在前面
这个系列为我在自学【机器学习】时的个人笔记。学习过程中可能会有较多的纰漏,希望各位读者不吝赐教。本系列以吴恩达老师的【“机器学习”课程】为纲,辅以黄海广老师的【斯坦福大学 2014 机器学习教程个人笔记(V5.51)】,中间会穿插相关数理知识。
逻辑回归
7.1 分类问题
逻辑回归(Logistic Regression)是一种用于解决二分类(0 or 1)问题的机器学习方法,用于估计某种事物的可能性。
将因变量(dependent variable)可能属于的两个类分别称为负向类(negative class)和正向类(positive class),则因变量
,其中 0 表示负向类,1 表示正向类。

7.1
如果我们要用线性回归算法来解决一个分类问题,那么假设函数的输出值可能远大于 1,或者远小于0。然而逻辑回归算法,这个算法的性质是:它的输出值永远在0到 1 之间。
逻辑回归算法是分类算法,我们将它作为分类算法使用。有时候可能因为这个算法的名字中出现了“回归”使你感到困惑,但逻辑回归算法实际上是一种分类算法,它适用于标签 y 取值离散的情况,如:1 0 0 1。
7.2 假说表示
回顾在一开始提到的乳腺癌分类问题,我们可以用线性回归的方法求出适合数据的一条直线:

7.1
根据线性回归模型我们只能预测连续的值,然而对于分类问题,我们需要输出0或1,我们可以预测:
当
时,预测 。当
时,预测对于上图所示的数据,这样的一个线性模型似乎能很好地完成分类任务。假使我们又观测到一个非常大尺寸的恶性肿瘤,将其作为实例加入到我们的训练集中来,这将使得我们获得一条新的直线。

7.2
这时,再使用0.5作为阀值来预测肿瘤是良性还是恶性便不合适了。可以看出,线性回归模型,因为其预测的值可以超越[0,1]的范围,并不适合解决这样的问题。
我们引入一个新的模型,逻辑回归,该模型的输出变量范围始终在0和1之间。
逻辑回归模型的假设是:
其中:
代表特征向量
代表逻辑函数(logistic function)是一个常用的逻辑函数为S形函数(Sigmoid function),公式为: 。
该函数的图像为:
[图片上传失败…(image-2e9344-1615636504740)].png)
合起来,我们得到逻辑回归模型的假设:
。
的作用是,对于给定的输入变量,根据选择的参数计算输出变量=1的可能性(estimated probablity)即
例如,如果对于给定的
,通过已经确定的参数计算得出 ,则表示有70%的几率 为正向类,相应地 为负向类的几率为1-0.7=0.3。7.3 判定边界

7.5
在逻辑回归中,我们预测:
当
时,预测 。当
时,预测 。根据上面绘制出的 S 形函数图像,我们知道当
时
时
时
又
,即:时,预测
时,预测
现在假设我们有一个模型:

7.6
并且参数
是向量[-3 1 1]。 则当 ,即 时,模型将预测 。我们可以绘制直线 ,这条线便是我们模型的分界线,将预测为1的区域和预测为 0的区域分隔开。

7.7
假使我们的数据呈现这样的分布情况,怎样的模型才能适合呢?

7.8
因为需要用曲线才能分隔
的区域和 的区域,我们需要二次方特征: 是[-1 0 0 1 1],则我们得到的判定边界恰好是圆点在原点且半径为1的圆形。我们可以用非常复杂的模型来适应非常复杂形状的判定边界。
7.4 代价函数

7.9
对于线性回归模型,我们定义的代价函数是所有模型误差的平方和。理论上来说,我们也可以对逻辑回归模型沿用这个定义,但是问题在于,当我们将
带入到这样定义了的代价函数中时,我们得到的代价函数将是一个非凸函数(non-convexfunction)。

7.10
这意味着我们的代价函数有许多局部最小值,这将影响梯度下降算法寻找全局最小值。
线性回归的代价函数为:
。我们重新定义逻辑回归的代价函数为: ,其中:

7.11
与 之间的关系如下图所示:

7.12
这样构建的
函数的特点是:当实际的 且 也为 1 时误差为 0,当 但 不为1时误差随着 变小而变大;当实际的 且 也为 0 时代价为 0,当 但 不为 0时误差随着 的变大而变大。将构建的 简化如下:
带入代价函数得到:
即:
这就是逻辑回归的代价函数:

屏幕截图 2021-03-13 160155
这个式子可以合并成:
即,逻辑回归的代价函数:
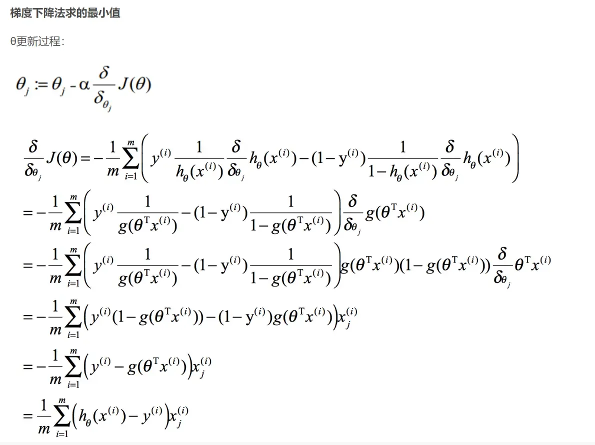
最小化代价函数的方法,是使用梯度下降法(gradient descent)。

屏幕截图 2021-03-13 161844
更新过程可以写成:
所以,如果你有
个特征,也就是说:
01710312350440
,参数向量
包括 一直到 ,那么你就需要用这个式子:来同时更新所有 的值。
对于线性回归假设函数:
而现在逻辑函数假设函数:
因此,即使更新参数的规则看起来基本相同,但由于假设的定义发生了变化,所以逻辑函数的梯度下降,跟线性回归的梯度下降实际上是两个完全不同的东西。
7.5 多类别分类:一对多
先看有关药物诊断的例子,如果一个病人因为鼻塞来到你的诊所,他可能并没有生病,用
这个类别来代表;或者患了感冒,用 来代表;或者得了流感用 来代表。对于二元分类问题和多类分类问题数据如下图:

7.16
二元分类,可以使用逻辑回归,直线可以将数据集一分为二为正类和负类。
现在我们有一个训练集,好比上图表示的有3个类别,我们用三角形表示
,方框表示 ,叉叉表示 。我们下面要做的就是使用一个训练集,将其分成3个二元分类问题。我们先从用三角形代表的类别1开始,实际上我们可以创建一个,新的”伪”训练集,类型2和类型3定为负类,类型1设定为正类,我们创建一个新的训练集,如下图所示的那样,我们要拟合出一个合适的分类器。
为了能实现这样的转变,我们将多个类中的一个类标记为正向类(
),然后将其他所有类都标记为负向类,这个模型记作 。接着,类似地第我们选择另一个类标记为正向类( ),再将其它类都标记为负向类,将这个模型记作 ,依此类推。

屏幕截图 2021-03-13 155046
最后我们得到一系列的模型简记为:
其中:最后,在我们需要做预测时,我们将所有的分类机都运行一遍,然后对每一个输入变量,都选择最高可能性的输出变量。
总之,我们已经把要做的做完了,现在要做的就是训练这个逻辑回归分类器:
, 其中 对应每一个可能的 ,最后,为了做出预测,我们给出输入一个新的 值,用这个做预测。我们要做的就是在我们三个分类器里面输入 ,然后我们选择一个让 最大的 ,即 。无论
值是多少,我们都有最高的概率值,我们预测 就是那个值。这就是多类别分类问题,以及一对多的方法,通过这个小方法,可以将逻辑回归分类器用在多类分类的问题上。往期:
零基础”机器学习”自学笔记|Note1:机器学习绪论
零基础”机器学习”自学笔记|Note2:单变量线性回归
零基础”机器学习”自学笔记|Note3:线性代数回顾
零基础”机器学习”自学笔记|Note5:多变量线性回归
零基础”机器学习”自学笔记|Note6:正规方程及其推导(内附详细推导过程)
文章均来自互联网如有不妥请联系作者删除QQ:314111741 地址:http://www.mqs.net/post/14219.html
添加新评论