
引言
Repeat consumption是生活中常见的情况,不仅常见而且在电商等场景中占据交互的很大部分。
早期研究发现,消费的新近性(recency of consumption)是重复消费的最强预测指标。推荐系统的重要目标是帮助用户发现新物品。除此之外,许多现实世界的系统都使用针对不同目标的推荐列表,即提醒用户他们过去浏览或消费过的商品。Benson,Kumar和Tomkins(2016)确定了重复消费的两种宏观行为模式。首先,在给定用户的生命周期内,很少有物品可以长期使用。其次,一件物品的最近一次消费存在越来越长的时间间隔,这与厌倦感增加导致最终被遗弃的看法一致。这篇工作与先前关于重复推荐的工作之间的主要区别在于,是第一个提出神经推荐模型的工作,该模型明确强调常规和基于会话的推荐任务中的repeat consumption。
RepeatNet
给定行为session
,推荐任务形式化表示为
Framework
文中显式地将repeat consumption的情况考虑到推荐计算中,将explore和repeat进行结合

完整结构如下图所示,可以分为4个关键组件:

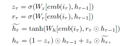
1. session encoder
会话编码将session编码到隐含空间中,使用GRU模型进行编码:

最终得到session中每个物品的表征:
2. Repeat-explore mechanism
对历史记录进行二分类,计算当前session出现repeat的概率,具体而言使用注意力机制进行特征提取,将每个物品与session最后一个物品表征
进行注意力计算:

使用softmax得到概率分布:
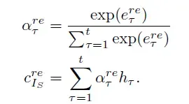
3. Repeat Recommendation Decoder
计算一个物品的被重复消费的概率:

由于同一物品可能在session中重复出现,因此分子需要计算加和。
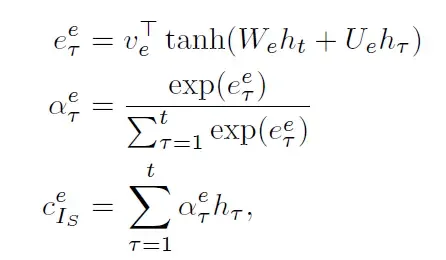
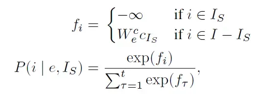
4. Explore recommendation decoder
计算新物品被点击的概率:与上面第二部分相同采用注意力机制进行计算:

并将计算得到的结果与最后一个物品的表征结合
计算概率形式如下:

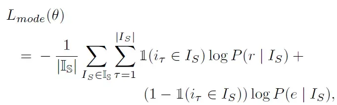
5. 损失函数


实验结果



小结
本文针对repeat consumption情况设计了神经网络模型,把repeat和explore两个任务相结合,提高了推荐效果,虽然模型结构简单,但设计合理。实验方面应该再对比一下其他模型对repeat的数据的预测情况,突出模型设计的优越性。
END
本人简书所有文章均为原创,欢迎转载,请注明文章出处 。百度和各类采集站皆不可信,搜索请谨慎鉴别。技术类文章一般都有时效性,本人习惯不定期对自己的博文进行修正和更新,因此请访问本人简书主页查看最新信息https://www.jianshu.com/u/40d14973d97c
文章均来自互联网如有不妥请联系作者删除QQ:314111741 地址:http://www.mqs.net/post/14291.html
添加新评论