
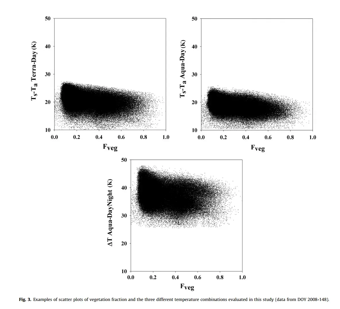
图3 三种特征空间
Terra和Aqua区别不大,使用
会有明显区别,完全植被覆盖端的温度差要显著大于前两者。

图4 EF反演结果

图5 与两个理论模型的比较
讨论
EF-SM经验模型的选择
尽管Komatsu模型参数更多,考虑的因素更多,但Lee-Pielke模型效果更好。
特征空间的选择
使用
精度优于 ,同时对遥感影像的要求也更低,因为后者需要连续两景无云的影像。文章均来自互联网如有不妥请联系作者删除QQ:314111741 地址:http://www.mqs.net/post/14320.html
添加新评论