
image.png
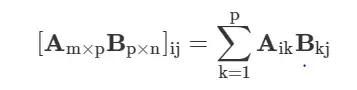
一般的矩阵乘法根据公式,可以由三重循环写出:

image.png
使用列表推导式来替代for循环完成
# 先定义零个矩阵
M1 = np.random.randint(1,10,10).reshape(2,5)
M2 = np.random.randint(1,10,10).reshape(5,2)
print(M1)
print('-' * 5)
print(M2)
M1@M2 # 矩阵乘法
>>>
[[6 1 2 8 5]
[6 1 7 9 4]]
-----
[[6 2]
[7 7]
[1 4]
[7 1]
[8 3]]
array([[141, 50],
[145, 68]])
# 使用列表推导式来完成
[[sum([M1[i][k] * M2[k][j] for k in range(M1.shape[1])]) for j in range(M2.shape[1])] for i in range(M1.shape[0])]
>>>
[[141, 50], [145, 68]]
-
更新矩阵
设矩阵 Am×n ,现在对 A 中的每一个元素进行更新生成矩阵 B ,更新方法是
image.png
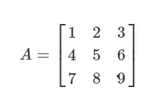
例如下面的矩阵为 A ,则
=5×(1/4+1/5+1/6)=37/12 ,请利用 Numpy 高效实现。

image.png
解答:
A = np.arange(1,10).reshape(3,3)
B = A*(1/A).sum(1).reshape(-1,1)

image.png
使用内置的函数
B = A.sum(0) * A.sum(1).reshape(-1,1) / A.sum()
print(B)
res = ((A-B) ** 2 / B).sum()
print(res)
参考:开源内容Joyful Pandas, 作者 DataWhale耿远昊
另外,更多精彩内容也可以微信搜索,并关注公众号:‘Python数据科学家之路“ ,期待您的到来和我交流
文章均来自互联网如有不妥请联系作者删除QQ:314111741 地址:http://www.mqs.net/post/15543.html
添加新评论